宋文琛博士2020年7月入职生环学院,主要从事森林生态学、稳定同位素生态学和根系-土壤-微生物系统方面的研究工作。三年来在中国森林真菌多样性领域取得重要研究进展。
研究成果1:以“Linking leaf δ15N and δ13C with soil fungal biodiversity, ectomycorrhizal and plant pathogenic abundance in forest ecosystems of China”为题于2021年发表在《CATENA》(中科院农林科学1区)上。宋文琛博士为第一作者兼通讯作者。

图1.研究样地位置示意图
叶片δ15N和δ13C是森林生态系统生物地理学研究中的重要功能性状。然而,人们对其与土壤真菌多样性、外生菌根和植物病原菌丰度的关系知之甚少。宋文琛博士利用分子和稳定同位素技术,在全国范围内采集了33个森林保护区的叶片和土壤样品,探讨了叶片δ15N和δ13C与土壤真菌多样性、外生菌根和植物病原相对丰度的关系。研究发现,叶片δ15N主要受外生菌根真菌相对丰度的影响,δ13C主要受年平均气温和年平均降水量的影响。叶片δ15N和δ13C可作为反映森林生态系统土壤真菌群落的指标。
该研究首次阐述了中国森林生态系统中叶片δ15N和δ13C与土壤真菌多样性、外生菌根和植物病原丰度的地理格局变化,以及它们之间的影响和联系,为未来森林生态系统地上—地下互作领域的研究提供了重要的参考、指标和依据。

图2. 叶片δ15N和δ13C与土壤真菌多样性、外生菌根和植物病原丰度的关系
研究成果2:以“Phosphorus Limitation of Trees Influences Forest Soil Fungal Diversity in China”为题于2022年发表在《Forests》(中科院农林科学2区)上。爱情岛论坛
博士生郑腊梅为第一作者,宋文琛博士为通讯作者。
为了解决哪种理论最能反映森林土壤真菌多样性构建的实际机制的问题,探讨了三个假设:(1)真菌多样性主要与温度的纬度变化相关;(2)森林土壤真菌多样性的纬度变化主要由不同真菌类群(如外生菌根真菌(EMF)、腐养性真菌、植物病原真菌)之间的各种相互作用决定;(3)森林土壤真菌多样性的纬度变化主要以树木P限制的变化为主。如果第一个假设正确,则森林土壤真菌多样性应与纬度呈正相关。如果第二种假设正确,则真菌(如外生菌根、腐生菌和植物病原真菌)应与土壤真菌多样性相关。如果第三种假设贴近实际,则森林土壤真菌多样性应与叶片N/P,以及土壤可利用的营养(如P和钾(K))或pH值相关。
研究结果显示,土壤真菌多样性(香农指数)在纬度上显示出抛物线变化,腐生菌与植物病原真菌多样性和纬度无显著关系。EMF通过对植物的正密度依赖或保护改善了宿主性能、生态系统服务和植物多样性,但土壤真菌多样性并不依赖于它们。森林土壤真菌多样性与叶片N/P、土壤可利用的营养(如P和钾(K))或pH值相关,研究结果证明第三个假设最符合实际。

图 3. 描述驱动因素对中国森林土壤真菌OTU Shannon指数影响的结构方程模型(SEM).箭头旁边的数字表示关系的效果大小。红色表示正相关,灰色表示负相关。* p < 0.05, ** p < 0.01, *** p < 0.001.
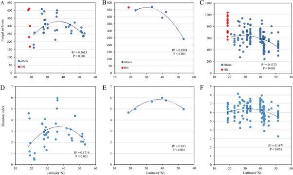
研究成果3:以“Negative linear or unimodal: Why forest soil fungal latitudinal diversity differs across China”为题于2023年发表在《Microbiology Spectrum》(中科院生物学1区)上。宋文琛博士为唯一作者。
为明确中国森林土壤真菌生物多样性纬度梯度模式不一致的原因,本研究对数据进行了再分析。发现其原因与大陆和岛屿的不同环境以及不同分类标准之间的不一致有关。由此对未来的研究提出了三点建议:在此类研究中,应区分大陆和岛屿上的地点;应使用香农指数来表示真菌多样性,而不是操作分类单元(OTU)丰富度;使用更高分类水平的多样性(如科水平)而不是OTU水平代表物种多样性的潜在代表。
该研究重要性在于中国森林土壤真菌生物多样性的纬度梯度已经被调查过,然而,这些研究的结果并不一致。本研究重新分析了中国所有森林类型的研究数据,发现森林土壤真菌纬度多样性的差异是由大陆和岛屿的不同环境以及不同分类标准之间的不一致造成的。因此,对今后关于这一主题和类似主题的研究提出了三项建议。本项研究发现可以用来提高我们对森林土壤真菌纬度多样性的理解,并作为未来研究的基础,因此研究结果具有重要的贡献。

图4. 纬度与土壤真菌丰富度的关系。基于参考文献3(A)、5(B)和4(C)的数据。HN是指海南岛的样本。纬度与土壤真菌香农指数的关系。基于参考文献3(D)、5(E)和4(F)的数据。
研究成果4:以“Linking Leaf Functional Traits with Soil and Climate Factors in Forest Ecosystems in China”为题于2023年发表在《Plants》(中科院生物学2区)上。成都理工大学周星宇和爱情岛论坛
本科生辛嘉讯为共同第一作者,成都理工大学李飞博士和爱情岛论坛
宋文琛博士为通讯作者。
植物叶片功能性状可以反映植物对环境变化的适应策略。探索叶片功能性状地理变异的模式和原因对于在宏观尺度上改进生态学理论至关重要。为了探讨中国森林生态系统中叶功能性状的地理变异和主导因素,本研究在中国33个森林保护区中测量了16个叶功能性状上的15个环境因子。结果表明,叶面积(LA)、碳氮比(C/N)、碳磷比(C/P)、氮磷比(N/P)、单位面积磷质量(Pa)和氮同位素丰度(δ15N)与纬度显著相关。LA、Pa和δ15N也与经度显著相关。中国南方的叶片功能性状主要受气候因素影响,而中国北方的叶片功能主要受土壤因素影响。年平均气温(MAT)、年平均降水量(MAP)和年平均湿度(MAH)是影响中国森林叶功能性状的重要气候因子,而有效钙(ACa)、有效钾(AK)和有效镁(AMg)是影响森林叶功能特性的重要气候因素。该项研究填补了叶片功能性状的驱动因素和大规模地理变异性研究的空白,阐明了森林-土壤-气候系统的运行机制,为全球森林动态建模提供了可靠的支持。

图5. 叶片功能性状与环境因子之间的RDA分析。

图6. 环境变量与叶功能性状之间皮尔逊相关的热图。显著性差异:**<0.05;**<0.01.
(宋文琛供稿,周宜君审校)